The PiCasso design challenge is all about applications of Raspberry Pi technology in art so I want to include Pi enabled art in the blogs where possible.
The slider input device I made to simulate a touch screen input is an interesting device in its own right and I made some abstract art with the slider mouse that it is uniquely qualified to facilitate:
This particular artwork capability was only briefly available, making it even more unique, because the software in the slider mouse had to be upgraded to handle the camera coordinate system.
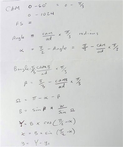
I don't have any CAD software that can handle trigonometry but I thought I understood the geometry and trigonometry well enough to just whip up a program to translate camera data into mouse coordinates .... unh-unh ... no cigar.
I was thinking of angles in degrees and measurements in inches, but the computer was using radians and pixels. The software eventually did something cute, but not what was needed.
I then drew the geometry in Corel Draw and re-did the equations .... nada ... no luck ... nolo contendere.
One axis seemed pretty good, but the other axis was right out to lunch.
I tried writing the equations in a document instead of the software program, to make sure they were right, but they became confusing.
I eventually had to resort to writing the equations on a piece of "PAPER"...
They then looked so simple .....
There is some kind of lesson there....
Hopefully when the PiCassoTizer works, I will be able to write on my digital blackboard and get rid of paper .... but probably not...
If each slider represents the output from one camera, and one of them is stationary, the other one will draw a line that is always at the same angle to the other camera, like a ray from that camera. So the software is finally more-or-less under control, subject to making it reflect the actual geometry. The rays will point to a location off the screen, because the cameras need to be far enough away that the whole screen is in their field of view.
To demonstrate the ray nature of the system, I made a work of graphic art. The rays from each camera are a different colour.
It doesn't have a name, but it does have a caption:
I am still hoping the DACs arrive soon, but I think I may have to resort to trying to get analog output using PWM.
I am a little worried about the trade-off between noise and lag with PWM, but it may be okay and should at least demonstrate the whole software system.
Of course I still need a second camera, preferably two the same - they have not arrived either.
Anyway, I'm already having fun making art with the system as it gets developed.
Relevant links:
PiCassoTizer - Introduction - blog 1
PiCassoTizer - Electronic Parts - Blog 2
PiCassoTizer - Finger Detection Image Processing - Blog 3
PiCassoTizer - Absolute Mouse Position - HID Simulation - Blog 4



Top Comments