介绍:
在2012年的ImageNet竞赛上,基于卷积神经网络的AlexNet横空出世,以绝对优势拿下冠军。从那以后,人们开始认识到神经网络在图像识别领域具有巨大的潜力。其实早在1986年时,LeCun就发表了Lenet,但是由于计算能力等问题,神经网络一直没有流行起来。直到2012年,Hinton和他的弟子Alex创新地使用两块Gtx 580进行神经网络的计算,才使得计算能力的问题在一定程度上得到了解决。
同样是因为计算能力的问题,现在的神经网络训练甚至使用都得在装有高级显卡的服务器或者PC上运行,使得神经网络的应用场景受到很大的限制。
为了让神经网络能在嵌入式设备上运行(如树莓派3b),微软发布了Embedded Learning Library (以下简称ELL)。ELL允许开发者将神经网络的模型部署到资源有限的嵌入式设备中,比如Raspberry Pi,Arduino和micro:bit等。这些网络可以在本地运行,不需要和云端交换数据,不用网络连接也可以运行。
本文的目标就是使用ELL将Lenet部署到树莓派中,让树莓派可以识别手写字符。
原理
软硬件
硬件:
* 树莓派3b(系统版本2017-07-05-raspbian-jessie)
* usb摄像头
* PC(ubuntu16.04)
软件有:
* CNTK
* Opencv
* ELL
卷积神经网络的原理:
卷积神经网络在当前计算机视觉,自然语言处理,自动驾驶技术中都有非常广泛的应用。就计算机视觉来说,卷积神经网络是google net, vgg net, gan等的重要组成部分。这里我们简要的介绍下神经网络,卷积神经网络的原理。
神经网络:
图1中为单个神经元的模型。该神经元可以看作一个计算单元,输入为(其中+1表示添加一个偏置,也就是后面的+b,这是为了编程方便),输出为。称为激活函数(activation function)。

图1. 单个神经元[1]
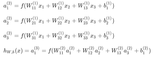
神经网络就是有多个神经元组成的,如图2为一个神经网络的模型。图中最左边的称为输入层,最右边的称为输出层,中间的为计算单元。
图2. 神经网络[1]
在这个网络中,输入层是给定的,输出层是输入层经过计算layer L2计算出来的。因此,网络中可以训练的参数在L2中。我们定义参数为(W,b),则
图中神经网络的计算过程为:
我们将上面的过程称为前向传播。
参考:http://ufldl.stanford.edu/tutorial/supervised/MultiLayerNeuralNetworks/
神经网络除了前向传播算法,还有方向传播算法,因为树莓派中部署了网络以后用到的主要是前向传播,因此就不再介绍。
卷积神经网络:
图3为卷积神经网络的计算过程。黄色部分代表卷积核,绿色的部分代表输入的数据(如图像),粉色的为输出的数据。
图3. 卷积神经网络的计算过程
与神经网络类似,卷积核参数可以表示为
卷积核在图像上计算,移位,再计算,再移位,往复循环,最终得到一个输出矩阵。
每次计算可以表示为:
上面描述的为卷积神经网络的前向传播过程,在树莓派中用到的也是卷积神经网络的前向传播过程。
Lenet
Lenet是由Yan Lecun提出的用来识别手写字母的卷积神经网络。该网络包含两个卷积和两个全连接层。
ELL介绍
ELL是微软推出的可用于嵌入式设备的神经网络框架。在官网里面有用于树莓派3b上的教程,在教程中使用的是用于ImageNet的模型。因此他的模型比较大,在树莓派上跑的时候速度比较慢。因此,我需要自己训练模型,移植到树莓派上。训练模型的时候用到的是CNTK。
CNTK介绍
CNTK(Cognitive Tooki)是微软推出的一款开源的深度学习框架。他用代码来构建深度学习的运算图。CNTK中包含了神经网络所需的DNN,CNN,RNN/LSTM单元,SGD,ADAM等学习算法也一应俱全。同时,CNTK支持使用GPU进行计算。除此之外,CNTK支持的编程语言非常广泛,包括python,C, C++, C#等等。CNTK训练出来的模型可以直接使用ELL进行转换,因此,我们使用CNTK。
过程
目录树
在PC上安装ELL
参考:https://github.com/Microsoft/ELL/blob/master/INSTALL-Ubuntu.md。在ubuntu系统的电脑上安装ELL。具体过程就不描述了,严格对照安装指南中的版本号检测自己的GCC和CMAKE基本上不会出现问题。
在树莓派3b上安装ELL
根据:https://microsoft.github.io/ELL/tutorials/Setting-up-your-Raspberry-Pi 再树莓派3b上安装ELL。
需要特别注意的是ELL在树莓派上的安装对于系统有要求,一定要是微软指定的Raspbian Jessie版本(https://downloads.raspberrypi.org/raspbian_lite/images/raspbian_lite-2017-07-05/)。
对树莓派3b上的ELL进行测试
在电脑和树莓派上都安装完ELL后,使用ELL里面的例程(https://microsoft.github.io/ELL/tutorials/Getting-started-with-image-classification-on-the-Raspberry-Pi/)进行测试。
微软给的例程中使用的网络是在imagenet上训练的,网络本身也比较大,所以树莓派跑着非常吃力。在程序运行的过程中,树莓派的温度非常高(微软官方建议采用主动散热),视频帧数2帧左右。
编写CNTK的网络训练代码
官方例程测试完毕,证明ELL可以正常运行。于是可以开始训练自己的手写数字识别网络。Training 的数据使用的是经典的MNIST数据集,使用的深度学习框架为同为微软推出的CNTK。
为了易于实现,稍微改动Lenet的参数后再使用CNTK进行实现。
其中CNTK代码中,z.save('mnist.model')是用来保存cntk训练完成的模型及参数的。有了这些训练参数才能进行下一步。
训练结果如下
将CNTK的网络和参数转化成ELL的
参考:https://github.com/Microsoft/ELL/blob/master/docs/tutorials/Importing-models/index.md 。 我们可以将之前保存的mnist.model转化成ell的模型。
首先将mnist.model进行重命名
mv mnist.model model.cntk
然后使用cntk_importer将model.cntk转化成ell模型
python <ELL-root>/tools/importers/CNTK/cntk_import.py model.cntk
这时候文件夹下会出现一个名为model.ell的文件。这时候我们已经将CNTK保存的模型转化成ELL可以使用的格式了。
在笔记本上编译和运行ELL的模型
使用下面的命令将model.ell转化成cmake project
python <ELL-root>/tools/wrap/wrap.py model.ell -lang python -target host
编译cmake project
cd host
mkdir build
cd build
cmake .. -DCMAKE_BUILD_TYPE=Release && make && cd ../..
运行源码中的call_model.py
python call_model.py
测试通过
在树莓派上编译和运行ELL的模型
在PC上运行以下命令,将ELL模型转化成使用于树莓派3b的cmake project
python <ELL-root>/tools/wrap/wrap.py model.ell -lang python -target pi3
这时候文件夹中将出现一个名为pi3的文件,将其拷贝到树莓派中,接下来将在树莓派中进行编译。
安装上面在PC中编译的做法,在树莓派中也进行编译。
编写树莓派中驱动模型的程序
具体的代码在源码中。
结果
在pc上运行得到的准确率为:98.8%
由于没有那么多的样本,在树莓派上通过摄像头采集图像并进行判断的准确率难以测量,达不到直接使用数据集中的图片数据进行测试得到的结果。因为用摄像头采集的数据是非理想的。我认为,非理想表现在以下两个方面。首先图片中除了数字还有其物体,这会影响网络的判别。另外,摄像头得到的彩色数据和原来的二值化数据有差别。我们还为对摄像头采集的图片进行优化,这个可以作为我们的future work。











