Introduction
This is my introduction for my entry in the Experimenting with Inductors challenge. Naturally, coming from me, it is going to be based around some aspect of testing electrical apparatus. On this occasion, my chosen subject is the test box utilised for testing for shorts in generator rotor windings, this unit has appeared in some of my previous blogs and was part of one of the blogs for the RoadTest of the 3 Series MDO.
Test Proposal in Brief
For this challenge I will aim to build a set of L-C delays to allow the operation of a rotor reflectometer to be verified. This will involve;
- Verification of inductance values using meter supplied
- Measure individual L-C delays with rotor reflectometer and compare transit times to calculated resonant frequency
- Measure complete delay line with rotor reflectometer and compare transit times to calculated resonant frequency
- Compare simulated fault locations with calculated locations
Generator Rotor Winding
An actual generator rotor winding is just a set of coils embedded in a steel forging, that in effect, become a set of inductors in series with one another to make up the complete winding. As the coils are insulated from the steel forging, this effectively creates a capacitance across the insulation between the winding coils and the steel forging. Below is a drawing from Turbo Generator Maintenance I have simplified showing the main rotor winding components.
This is what the real thing looks like, here all the coils have been installed in the rotor and you can see the two poles at the end.
The coils are physically arranged to form the two poles of the rotor. In theory, these two poles are identical to one another, therefore a reflected pulse captured on an oscilloscope injected down one slipring should match the same pulse injected down the other slipring. As the outer coils are physically larger than the inner coils, they will have a greater inductance, but all the slots in the rotor forging are the same, therefore the capacitance of each set of coils to the rotor forging remains similar. Below is an electrical representation of the rotor.
Rotor Reflectometer Principle
Below is the principle of the operation of the reflectometer from the instrument manufacturer. This particular version is the dual channel version, the version I will be using is a single channel version. The pulse signal from the generator applied to the winding is constantly switched between each end of the winding and the reflected pulse across the variable resistor is displayed on the oscilloscope.
Delay Line Principle
I intend to build some inductor / capacitor based delay lines to act as a simulation of the generator rotor windings to test the rotor reflectometer on. I have an existing delay line from a manufacturer, but this does not test the full capabilities of the reflectometer, as the reflectometer has the capability to go up to a total delay of 100us.
In this version, all of the capacitors and inductors are of equal value, giving a fixed delay of 11us. However, in a generator rotor the individual coils of the windings, represented by each LC circuit of the delay line, are sized differently and therefore have different inductances and affect the delay in the circuit.
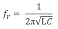
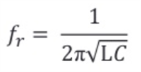
As the inductors have been provided in pairs, I will be able to build up a symmetrical simulation of the rotor winding to test out the rotor reflectometer. I will aim to compare the single and double transit delay values obtained from the tests on the circuit, to the calculated resonant frequency to determine if there is any correlation between the values. The resonant frequency will be calculated using the standard formula;
The inductance is in Henries and the Capacitance in Farads. Given that Farnell have been so kind to supply a Tenma 72-815572-8155 LCR meter, the calculations will be based upon the values measured by this instrument. I will also look to confirm these measured values utilising the Voltcraft LCR-300 instrument already in my possession. As the majority of this work will be breadboard based, I plan to mostly utilise the radial inductor kit sent.
Radial inductor kit
Measurement of 6.8mF Inductor
As I know the maximum transit time the reflectometer is capable of, I should be able to select a suitable capacitor to use with the inductor to create the delay. I will test each L-C delay circuit and compare this with a test of all the delay circuits in series. The delays will be built up in a similar manner to the rotor construction with smaller inductance building up to the larger inductance and then back down to the smaller inductance.
Fault Location Measurements
Further experimentation will involve the verification of the fault location formula;
This requires the measurement of the single transit time and the time to the fault divergence between the two traces. I am sure I have an oscilloscope somewhere to measure those two times.
Conclusions
This concludes the first blog where I have set out my intentions to build and test a delay line based upon a string of L_C circuits for testing the functionality of a rotor reflectometer.











Top Comments