Wireless Energy Transmission Coils as Key Components
BY JÖRG HANTSCHEL
1. Introduction
Why is wireless energy transmission gaining importance now even though the technical principle is over 120 years old? The behavior of smartphone and tablet users has changed dramatically over the past two years. People are constantly sending emails, texting, posting on social networks and playing online games. The average user can barely last a day on a single battery charge, because large displays, fast processors and HD graphics consume lots of power. Public wireless charging stations offer a convenient solution to this problem. For example, a user can charge a smartphone by simply placing it on a restaurant table outfitted with a wireless charger. To make the user’s experience successful, the charger must be easy to use, fast and efficient, but more importantly, its performance must be comparable to conventional wired chargers. Once the technology, driven by consumer product design and demand, is well established, many different new applications will appear in other areas. For example, in the medical field, charger contacts, such as plugs or prongs, corrode easily with liquid disinfectants. However, with integrated wireless charging technology, medical instruments can be completely encapsulated which prevents contamination and corrosion. Moreover, in industrial settings with high concentrations of dirt, dust or flammable materials, wireless power supplies can eliminate many of the risks and quality control issues associated with charger contacts.
2. Three dominant standards
The success of these solutions depends, of course, on devices that adhere to standard compatible protocols on both the transmitter and receiver sides. Therefore, regardless of manufacturer, once it is certain that devices can be charged at any compatible station, the technology will become popular. Hence, it is critical to understand which standard protocols are present in the market and the technology behind them.
3. Close - coupled Qi Standard Wireless Power Consortium (WPC)
Energy transmission through inductive coupling over a short distance –typically in the millimeter range
• Transmitters (Tx) and receivers (Rx) are coils coupled via a magnetic field
• The magnetic field is concentrated in a small area between the transmitter and receiver coils
• A single transmitter can only supply energy to one receiver at a time
• Different power classes, such as 5 and 15 watts with plans to develop classes up to 2.5 kW
• Frequency range consists of 100 – 205 kHz
• Coil shapes and form factors consist of wire wound on ferrite or traces printed on a circuit board
• Qi is currently the most established solution on the market with over 230 approved devices
• Approved devices have sales of approximately 16 million units worldwide
4. Loosely-coupled (LC) Wireless Power Transfer (Magnet ic Resonance) The Alliance for Wireless Power (A4WP)
The transmitting coil supplies energy at a frequency resonant with the receiving coil. The receiver is tuned to the resonant frequency to efficiently receive the energy. This phenomenon is called magnetic resonance
• Works at large distances in the z direction –typically 50 millimeters
• No precise positioning of the receiver is necessary –vertical, horizontal placement is not critical
• One transmitter can supply energy to more than one receiver at the same time
• Power classes planned for smartphones and tablets. Currently classes are up to 22 W
• Frequency range for charging energy is 6.78 MHz (ISM band), data 2.4 GHz (LP Bluetooth)
• Frequency range for data delivery is 2.4 GHz (LP Bluetooth)
• Standard not yet passed. No commercial product on the market yet
• No compatibility with WPC or PMA
5. Power Matters Alliance (PMA)
Similar solution to WPC –short distance inductive coupling
• Some chargers and charger adapters are compatible with both PMA and WPC devices –such as smartphones, but this does not mean that both standards use the exact same technology.
• The PMA solution uses a different protocol and transmission frequency band than WPC
• The characteristics of the protocol and the frequency range are only available to PMA members
• No direct compatibility with WPC or A4WP
There are attempts from some semiconductor manufacturers, such as IDT and Texas Instruments to offer chipset solutions that can work with both the WPC (Qi) and PMA standards. These chipsets can recognize the type of coils and transceivers nearby on either the transmitter or receiver side and they can adjust to transmit energy in either the Qi or PMA frequencies. Presently the standards are driven by the consumer market and are limited to solutions up to 20 W. Only WPC has proposed solutions up to 2.4 kW for applications such as wireless kitchen appliances. Once the proposed classes 200 W, 800 W and 2.4 kW are defined, these solutions can be used for not only kitchen appliances, but a wide range of applications in the industrial, medical, consumer markets.
Moreover, there is a multitude of customized solutions on the market with specific power ratings. The main application areas are power supplies for industrial equipment and large battery charging. These are mostly inductive solutions with small and medium production volumes that are not compatible among them and require their own unique approvals and certifications. This document does not address solutions in the automotive industry that specialize in electrical vehicle wireless charging.
6. The Qi System
How is the WPC Qi standard structured The low power class solution consists of a transmitter that provides 5 W to the receiver coil The transmitter and receiver communicate via a specific power management protocol(Figure 1 The power is delivered between the coils at an operating frequency range of 100 205 kHz The receiver requests the required energy from the transmitter and the transmitter adjusts to the request The energy transmission is monitored and adapted by the power management system If the receiver does not need any more energy the system goes into standby mode Semiconductor manufacturers offer designers evaluation kits and reference designs For example here is a picture of the bq500211AEVM-210 transmitter board from Texas Instruments with a transmitter coil from Wrth Elektronik(760308111
Figure 1: Principles of the WPC Qi standard (Source: Wireless Power Consortium 2012)
The characteristics of the transmitter and receiver coils are crucial to achieve low power transmission losses. The proper selection and positioning of the transmission and receiver coils has a major influence on the efficiency of the energy transmission.
Figure 2 Transmitter board bq500211AEVM-210 from Texas Instruments(Source Foto Wrth Elektronik
Figure 3: Selection of transmission and receiver coils according to the WPC Qi standard (Source: Würth Elektronik)
7. Key Factors for the coils
A series of key factors dictate the best possible solution for low loss energy transmission.
8. Placement of the coils
The transmission and receiver coils need to be properly aligned to minimize losses. Lateral, canted and
vertical misalignments are particularly detrimental to energy transmission. (Fig. 4).
Figure 4: Types of transmission and receiver coil misalignments (Source: RRC power solutions' own representation)
Good coupling and maximum energy transmission depends on the size of the effective area of the receiver coil in the magnetic field of the transmitter coil. Moreover, it also depends on the distance in the z direction. If the receiver coil is centered with the receiver coil without canting and the distance in the z direction is as low as possible then it is more likely that transmission losses are minimal. A coupling factor of 1 is ideal. This means, the effective area of the transmission and reception coils is equal.
9. Coupling
To compensate for misalignment losses, it is important to design coils with high quality and coupling factors. The coupling factor between the transmission and receiver coils consists of the following parameters:
L1 and L2 are the self-inductances of the coils. M is the mutual inductance between the two coils. The quality factor of the coils depends on the resistance loss RL and the reactance XL.
Air coils with a ferrite plates have a typical quality factor of between 100 and 300. The resistance in the coils and also the ohmic resistance of the wire are influenced by various factors.
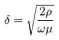
10. Skin Effect
The displacement of electrical current from the center of a wire to its surface is called the skin effect. This phenomenon occurs in conductors that carry alternating current. The skin effect depends on the frequency of the alternating current. When the frequency of the alternating current increases, then the concentration of current on the surface of the conductor also increases. Therefore, high frequency alternating currents displace or “push” the majority of the current to the surface. In such cases, the current density in the center of the conductor is lower than on its surface. The penetration depth δ can be described with the following formula:
ω angular frequency
μ sheared effective permeability (e.g.: 100)
The penetration depth is measured from the outer diameter to the center of the conductor and for a frequency of 50 Hz the penetration depth is approximately 10.4 mm, at 10 kHz 0.73 mm and at 100 kHz 0.23 mm. From these calculations, it is evident that the skin effect reduces the area through which the current flows, and consequently, the resistance seen by the current flowing through this smaller area rises. Higher resistance means higher energy losses. By using high frequency wire strands in the transmission and receiver coils, the energy losses from the skin effect can be significantly reduced. High frequency wires consist of thin wires braided in groups of two or more wires. Each of the wires in the group carries a portion of the total current. This helps minimize the skin effect, and hence, more energy can be used effectively.
11. Proximity Effect
Another factor that influences the energy losses in the coils is the proximity effect. The proximity effect causes current constriction or current displacement in closely spaced conductors as a result of the magnetic flux leakage in each of the conductors. Wire strand configuration, winding technology and the structure of wire insulation can reduce unwanted eddy currents in the coils.
12. Loss Factor
Wireless energy transmission is limited by the loss factor in the system. The loss factor λ is defined as
This ratio expresses the total loss of energy to the transmitted quantity of energy. The main goal is to minimize the loss factor in the system as much as possible. If the transmitter and receiver coil configuration is optimized, a minimal loss factor can be achieved. However, the loss factor is still inherently affected by the quality factor and coupling factor of the system as a whole.
The equation shows that the product of quality factor and coupling factor can be taken as the system quality factor (figure of merit, FOM). Deterioration of the loss factor, e.g. due to a poor coupling factor, can be compensated by raising the quality factor of the coils. (Fig. 5)
Figure 5:
Figure 5: Relationship between the loss factor and the figure of merit (Source: Wireless Power Consortium 2012 www.wirelesspowerconsortium.com/technology)
13. Field pattern
Another important element that crucially influences the coils efficiency is the magnetic field pattern. The magnetic field pattern determines the unwanted radiation into the surroundings. Unwanted radiation into the surroundings has significant effect in system efficiency. Figure 6 shows the magnetic field strength and magnetic flux density of the transmission and receiver coils in optimal coupling.
Figure 6: Simulation of the magnetic field strength and flux density in inductively coupled coils on ferrite (Source: Würth Elektronik)
It is clear that the magnetic field is selectively limited to the space between the coils and there is practically no influence on the surroundings. The simulation of the flux density shows the effect of the ferrite plate. The magnetic flux is concentrated within the ferrite. Figure 7 shows the magnetic field strength and flux density with a lateral misalignment (28%) of the transmission and receiver coils.
Figure 7: Source: Würth Elektronik
With this misalignment, the magnetic field and magnetic flux are mainly limited to the overall configuration of both coils. There is no increase of the field in the z direction. It can be deduced that by using a suitable ferrite shield, the magnetic field in the inductive coupling is limited to the area between the coils, and therefore, additional shielding measures are not necessary. In addition, the Qi standard regulations prevent greater losses arising from misalignment of the coils. For example, if the energy transmission efficiency of the connection drops below 70%, then the power management system aborts transmission. Only when the alignment of the coils allows for energy transmission with an efficiency >70%, then energy transmission starts.
Moreover, the geometries and materials of the transmission coil are specified in detail in the WPC Qi standard. Since the components, such as the transmission coils, power management system and chipset, need to comply with the standard, then interoperability of the overall system can be guaranteed. Qi certification of devices involves independent test laboratories verifying interoperability of new products with previously certified devices.
There are currently 22 different designs stipulated in the Qi standard for the transmission coils. These designs are divided into two classes. One class consists of designs with ferrite plates and wound wire coils. The other class consists of circuit boards with printed windings or hybrid solutions. Within each class, the coils are classified by number of coils (single, array), size, shape, voltage and the type of control mechanism (voltage, duty cycle, frequency). There are also designs with a central permanent magnet in the coil. The permanent magnet is intended to automatically center very lightweight receivers on the transmission coil. A disadvantage of this alignment method is that the permanent magnet in the magnetic field of the coil severely
impacts the quality factor of the system, because eddy currents form within the magnet. These currents consume useful energy.
14. Improvement and optimization of the standard coils
The parasitic resistances in the coils can be minimized by using high quality materials, designing efficient wire strand insulations and optimizing winding technologies. Improvements in these areas ultimately increase the quality factor of the system. Such efficient coils provide better performance in industrial or medical applications. Würth Elektronik offers a wide range of transmission and receiver coils that meet the Qi requirements with a low RDC and a high quality factor.
15. Summary
Wireless energy transmission is most effective when it complies with a clearly defined standard. In particular, in the Qi standard there are various ways of positively influence the energy transmission of the coils. The selection of optimized coils, careful system design and clear guidance for the user in placing the device on the transmission station can constitute a competitive advantage for the device manufacturer. From the standardization body perspective, better optimization definitions are a work in progress that should lead to an improvement in the performance of the next system generation. Nevertheless, the transmission and receiver coils remain the key components in wireless energy transmission and are essential for the overall system
efficiency.
16. Literature:
Alliance for Wireless Power: http://www.a4wp.org/technology.html
Elektroniknet.de: Peter Wambsganß and Prof. Dr.-Ing. Nejila Parspour , Power supply from the HF field (in German) http://www.elektroniknet.de/power/power-management/artikel/1644/1/
Power Matters Alliance: http://www.powermatters.org/
RRC power solutions: Workshop: Basic principles of inductive energy transmission, Qi standard and
system design, 2012
Texas Instruments Evaluation Kit: http://www.ti.com/ww/en/analog/wireless_power_solutions/tools.htm
Wireless Power Consortium : www.wirelesspowerconsortium.com/technology
Würth Elektronik: Trilogy of Inductive Components, 2008
Würth Elektronik Datasheets 760308111760308111 760308201760308201 760308106760308106
Würth Elektronik: Wireless Power Coils: http://katalog.we-online.de/de/pbs/WE-WPCC
IMPORTANT NOTICE
Würth Elektronik eiSos GmbH & Co. KG and its subsidiaries and affiliates (WE) assume no liability for application assistance of any kind. Customers may use WE’s assistance and product recommendations for their applications and design. The responsibility for the applicability and use of WE Products in a particular customer design is always solely within the authority of the customer. Due to this fact it is up to the customer to evaluate, where appropriate to investigate and decide whether the device with the specific product characteristics described in the product specification is valid and suitable for the respective customer application or not. Customers are cautioned to verify that data sheets are current. The current data sheets can be downloaded at www.weonline. com. Customers shall strictly observe any product-specific notes, cautions and warnings. WE reserve the right to make corrections, modifications, enhancements, improvements, and other changes to its products and services. WE does not warrant or represent that any license, either express or implied, is granted under any patent right, copyright, mask work right, or other intellectual property right relating to any combination, machine, or process in which WE products or services are used. Information published by WE regarding third-party products or services does not constitute a license from WE to use such products or services or a warranty or endorsement thereof. WE products are not authorized for use in safety-critical applications (such as life support). It has to be clearly pointed out that the possibility of a malfunction of electronic components or failure before the end of the usual lifetime cannot be completely eliminated in the current state of the art, even if the products are operated within the range of the specifications. In certain customer applications requiring a very high level of safety and in which the malfunction or failure of an electronic component could endanger human life or health Customers must ensure that they have all necessary expertise in the safety and regulatory ramifications of their applications, and acknowledge and agree that they are solely responsible for all legal, regulatory and safety-related requirements concerning their products and any use of WE products in such safety-critical applications, notwithstanding any applications-related information or support that may be provided by WE. Further, Customers shall fully indemnify WE against any damages arising out of the use of WE products in such safety-critical applications. WE products are neither designed nor intended for use in automotive applications or environments unless the specific WE products are designated by WE as compliant with ISO/TS 16949 requirements. Customers acknowledge and agree that, if they use any non-designated products in automotive applications, WE will not be responsible for any failure to meet such requirements.
USEFUL LINKS
Application Notes: http://www.we-online.com/app-notes
Component Selector: http://www.we-online.com/component-selector
Toolbox: http://www.we-online.com/toolbox
Product Catalog: http://katalog.we-online.de/en/
CONTACT INFORMATION
Würth Elektronik eiSos GmbH & Co. KG
Max-Eyth-Str. 1, 74638 Waldenburg, Germany
Tel.: +49 (0) 7942 / 945 – 0
Email: appnotes@we-online.de










