Quiet switching controller for audio amplifiers
ANP013 by STEFAN KLEIN
IN COOPERATION WITH GÜNTHER KLENNER FROM 
1. Switching controllers in audio amplifiers
Analog amplifiers are still used in entertainment electronics, especially in the audio range. Switching controllers are now increasingly used as their power supplies, as they attain high efficiency. These are switched circuits that include various sources of interference and may lead to various types of electromagnetic interference. Classical interference, such as line-bound interference, is not always the main problem in every circuit. In analog amplification circuits, switching controllers can cause non-linear distortions. Nonetheless, even analog circuits can be supplied with switching controllers, provided attention is paid to filtering of interference and the design of their circuit boards. However, filters are not all the same. Different filter coils are considered depending on the frequency associated with the interference. Wire coils with a relatively low self-resonant frequency are no longer considered for high frequency interference sources. SMD ferrites are selected for such cases, as offered in a wide variety by Würth Elektronik. This Application Note addresses the EMC-compliant design of DC/DC switching controllers for analog audio amplifiers using Würth Elektronik SMD ferrites and was written in ccoperation with Mr. Günther Klenner from K&K Prime.
2. Classes of analog amplifiers
Analog amplifiers are distinguished between classes A, B and AB. Class A amplifiers work with a single output transistor operated in the linear part of its characteristic and thus demonstrate outstanding linearity. Class B amplifiers extend Class A amplifiers with a second transistor of which one is responsible for the positive and the other one for the negative half-wave of the audio signal. This avoids the “power guzzling” quiescent current and the efficiency is up to 78.5 % (theoretically). Class AB amplifiers are a combination of Class A and Class B. Like Class B, the circuitry consists of two transistors, but it is extended with a DC quiescent current flowing (as with Class A, but significantly less), which ensures that crossover distortions are minimized. Crossover is the change from one to the other transistor with the change from the positive to the negative half-wave. AB amplifier technology has since come of age: The linearity is brought under control with differential amplifiers in the preamp stage and, if the polar transistors are replaced with MOSFETs, the result is high performance and very low noise amplifier.
3. Interference sources
Firstly line-bound interference and radiated interference emission are distinguished. At the input of the switching controller, the input current flows with a superimposed AC component, which contains a high level of HF energy. This energy arises from the differential mode current and flows with the same frequency as is used to clock the switching controller. On account of the input current, an interference voltage is generated from the impedance of the input circuit and the ESR of the input capacitor, which leads to interference of electrical devices.
At the output, an AC component flows through the output capacitor of the switching controller, which, from the ESR of the output capacitor, leads to undesirable residual ripple. This can interfere with downstream analog or HF switching circuits. Consequently, it can lead to interference radiated from the outgoing lines, as the lines transmit the interference through the air like antennas.
The circuit board layout is a factor not to be neglected. Conductor loops in the circuit board act as antennas, as clocked currents flow with a high di/dt that in turn contains a very high level of HF energy. The conductor loops act like frame antennas and cause increased interference radiation of the interference field strength through the air. Even a "clean" circuit board layout still poses the risk of coupling of interference internally within the circuit and of HF energy being radiated via other circuit components or cables.
4. Coupling mechanisms
An electric alternating field, e.g. caused by switching processes with a high dV/dt component, causes capacitive coupling between neighboring circuits or conductors.
Here "C" represents the parasitic coupling capacitance between the individual lines. It also depends on the length and arrangement of the conductors, as well as the medium between the conductors that acts as a dielectric. Capacitive coupling requires a distance "d" which is less than 10% of the wavelength "λ" (d < λ/10). Analogous to this, alternating currents with a high di/dt generate an alternating magnetic field and can induce an interference voltage VNOISE in neighboring circuits. This is how magnetic coupling arises.
Here "M" represents the parasitic coupling inductance between the two conductors. It depends on the geometry of the respective lines, the distance and the arrangement of the respective conductors to each other. Magnetic coupling requires a conductor whose length "l" is 25% less than the wavelength (l < λ/4). Both types of coupling reduce with increasing distance.
5. Functionality of the frame antenna
Each conductor on the circuit board can form a frame antenna. If a conductor forms a closed loop in the circuit itself or via various components, a frame antenna is produced. Whether it is round or angular, it acts as a frame antenna irrespective of the geometry. If an alternating current with high di/dt component flows through this conductor loop, an alternating magnetic field is formed. For radiation to occur, the conductor loop "l" has to be small compared with the wavelength "λ" of the alternating current.
So its antenna characteristic is essentially determined by the frequency "f", the enclosed area "A", the current "i" and the distance "r" between the frame antenna and the conductor. Figure 1 shows the spherical coordinate system of the frame antenna.
Figure 1: Spherical coordinate system of the frame antenna
An increase in current, frequency or the enclosed area will increase the magnetic field. Parameters such as current or frequency are fixed parameters in the design of the switching controller and cannot be changed. In practice, conductor loops are minimized and the circuit board layout is optimized.
6. Conductor loops in the switching controller design
A step-down controller is taken as the example below to draw attention to conductor loops that act as frame antennas. Figure 2 shows the principle set-up of a step-down converter and its operating states. There are two operating states in the working system. In the first operating state, the switch - an N-channel MOSFET in this example - is open. The current flows in a loop from the input terminals via the MOSFET, the coil, the output capacitor and then via the common ground back to the input capacitor. The green-dotted line shows the current path (i1=i2). In the second operating state, the switch is open. As the coil attempts to maintain the current, the current now flows from the coil via the output capacitor and the free-wheeling diode. The orange-dotted line shows the current path (i3=i2). The current i2 flows continuously through the coil in non-continuous operation.
Figure 2: Switching states of a step-down controller
The currents i1 through the switch and i3 through the free-wheeling diode flow switched on and off respectively. Their alternating current portions have very high di/dt components that can be coupled to neighboring circuits or conductors. The switching node (hot node) between the switch, free-wheeling diode and coil is also critical, because the voltage is switched on and off at this point. The dV/dt component of the switching edges is greatest here and can couple to neighboring circuits or conductors. As a result of the switching edges of currents i1 and i3, the red-dashed line is the most critical conductor loop in the circuit board layout of a step-up controller. It is known as the "critical loop" (hot loop). These conductor loops act as frame antennas and release their magnetic energy to the near field. The radiated field is proportional to the square of the frequency "f", the enclosed area "A", the current "I" and the distance "r" between the conductor loop and an antenna (receiver). The calculation example shows the electric field strength generated by a conductor loop in a switching controller. The following values are available:
Rise time tr: 14 ns
Effective current lin: 0.68 A
Loop area A: 24 mm2
In this example, the frequency of the switching edge at the switching node is selected as the biggest disturbing component. Given an unfavorable layout, the steep switching edge goes on to produce resonance and oscillates with the frequency of the rise time.
A rise time of the switching edge at the switching node of 14 ns corresponds to a frequency of around 72 MHz. At a distance of 10 m from the switching controller, this gives rise to a field strength:
This value expressed in dB/μV leads to:
For example, CISPR 22 stipulates for Class A a limit value for the field strength in the frequency range 30 to 230 MHz as 40 dBμV/m. This applies for measurement of the specimen at a distance of 10 m from the antenna. This calculation example shows that even a small conductor loop results in a field strength that far exceeds the limit value.
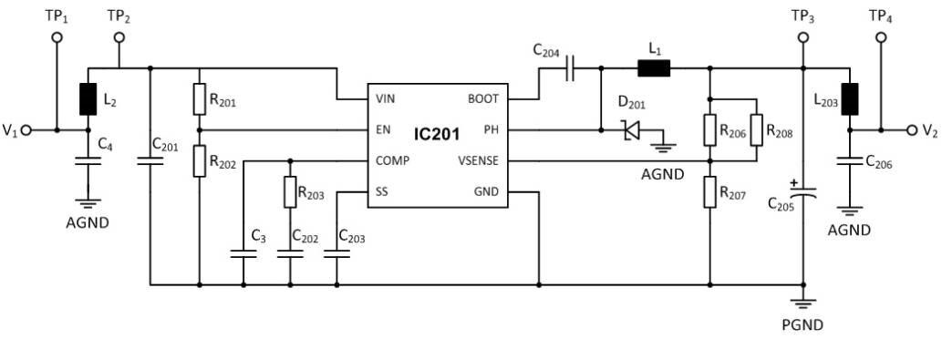
7. Case study of a step-down converter
The following example shows a circuit extract of a switching controller in an analog amplifier. Despite the risk of non-linear distortions, it is possible to realize the voltage supply based on a switching controller. In this case, special attention is placed on the filter for the inputs and outputs of the switching controller and the layout. Figure 3 depicts the circuit extract of the switching controller.
Figure 3: Circuit diagram of the step-down converter
In this example, a step-down converter with clock frequency of 570 kHz is used. The switching controller is supplied via the system from a desk power supply pack. As the switching controller is a component of an overall system in this case and is not supplied directly with mains voltage, EMC testing of the RF interference field is not applicable. The priority here is therefore not to suppress the interference voltage at the input of the switching controller, but rather to prevent capacitative coupling to neighboring circuits.
8. Selection of the filter components
Here the Würth Elektronik SMD ferrite WE-CBF 742792040 is used to suppress capacitive coupling in the cable prior to the switching controller. In combination with the input capacitor C4, it forms a low-pass filter. The SMD ferrite enables broadband filtering up into the high MHz range and thus suppresses the harmonics of the switching edges. REDEXPERT - a free-ofcharge online design program from Würth Elektronik - is used to select the SMD ferrite.
Figure 4: REDEXPERT with selected SMD ferrite
With the help of REDEXPERT, the right CBF is easy to select, as electrical properties and curves can be conveniently filtered. Figure 4 shows a filter that lists the frequency of the third harmonic is displayed in the upper window. WE-CBF 742792040 in package size 0805 is selected, because it has a low series 2 A. A low RDC is important, because, as the series resistor, it reduces the efficiency of the switching controller. The curves of the impedance, reactance and resistive loss are displayed in the lower window. When selecting the SMD ferrite, it is important to be able to attain high attenuation over a broad frequency range. A 10 μF ceramic capacitor is used as a filter capacitor, as ceramic capacitors have a low ESR. A low ESR is advantageous, as the filter capacitor has a high quality "Q" at the self-resonant frequency (SRF). This is required to generate the lowest possible impedance, such that disruptive frequency components can be short-circuited with low impedance to ground. Figure 5 shows the impedance curve of the filter capacitor in the Kemet Spice simulation software.
Figure 5: Impedance curve of the selected capacitor
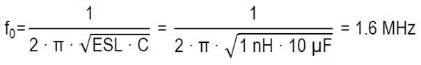
The red curve in Figure 5 shows the impedance curve. The values for ESR and ESL can be read off in the upper section. The negative peak of the curve clearly shows the capacitor's SRF at which the impedance is lowest.
The SRF can be determined on the basis of the capacitance and the ESL.
The selection criterion of the filter capacitor is to choose a capacitance value with an SRF which lies near, but above the clock frequency of the switching controller. The green bar indicates the clock frequency of the switching controller. As the interference voltage generated by the switching controller is highest at the clock frequency, it should be short-circuited to ground with the lowest possible impedance. However, the switching controller harmonics also have to be considered, so that the SRF is slightly above the clock frequency.
9. Effect of the filter
The low-pass filter consisting of the "L2" SMD ferrite and the "C4" filter capacitor, which depends on the load and source impedance of the circuit. Figure 6 shows the schematic relationship of the impedances and the filter.
Figure 6: Impedance dependence of the low-pass filter
In this application, the source impedance "ZB" represents the switching controller input and the load impedance "ZA" the cable. The insertion damping of the filters "AF" is defined by the expression above. Calculation of the source and load impedances is problematic, as they are mostly unknown. The source impedance, in this case the switching controller input, can usually be determined by measurement. On the other hand, the load impedance can vary, because it is the supply for the circuit. Assumptions can therefore only be made from a value of the load impedance. For this reason, the impedance of the filter is simulated in the LTSpice software in the 50 Ω system.
Figure 7: Simulation of the filter in LTSpice
LTSpice has an extensive library in which a number of Würth Elektronik products are stored. Figure 7 shows the schematic structure of the filter on the left and the attenuation profile of the filter on the right. At the clock frequency of 570 kHz attenuation of 71 dB is attained, which drops with increasing frequency.
The input filter causes a reduction in interference voltage amplitude in the time domain. As the capacitative coupling of the interference voltage is to be suppressed in this application, the result of the filter can be investigated with an oscilloscope. Figure 8 shows the measurement of the interference voltage at test point 2, the direct switching controller input. A far higher AC voltage component with an amplitude of 120 mV is applied. In order that the interference voltage does not pass the conductor or can couple to the neighboring circuits, the filter is placed directly upstream from the switching controller input. Figure 9 shows the interference voltage with the input filter at test point 1.
![]()  | ![]()  | 
| Figure 8: Interference voltage at the switching controller input | Figure 9: Interference voltage at the filter output | 
The measurement shows that the input filter reduces the interference voltage to just 20 mV and especially suppresses the switching spikes. The interference voltage is therefore in an uncritical range.
![]()  | ![]()  | 
| Figure 10: Residual ripple at the switching controller input | Figure 11: Residual ripple at the filter output | 
Analogous to this, this measurement can be performed at the switching controller output to check the amplitude of the residual ripple. The same components are used at the input, as well as at the output of the switching controller. The "L203" SMD ferrite and the "C206" capacitor form the output filter. Figure 10 shows the residual ripple at the switching controller output of test point 3 with an AC voltage component of 80 mV. This is still too high to be able to supply analog circuits. Figure 11 shows the measurement of residual ripple at the filter output at test point 4. Steep voltage peaks are also apparent, marked with red ellipses, which have been caused by coupling into the measurement cables. They may therefore be ignored.
The effect of the filter is also apparent here. The residual ripple has been reduced to a value below 10 mV and is now absolutely uncritical. The residual ripple reduced here should now no longer lead to non-linear distortions in the analog amplifier. The measurements show the importance of filtering the input and output and how effective these filters can be.
10. Layout of the switching controller
The problem of conductor loops and the high field strength is described at the beginning of the Application Note. In order to reduce the current loop at the moment of switching on the switch, it is important to reduce the length of the conductor track. This is realized by placing components as close as possible to each other. The longest conductor track is still the connection to ground between the output and input capacitors. To avoid galvanic coupling of the AC component via the ground of a circuit, the ground of the switching controller "PGND" should only be connected at a single point with the remaining ground of the circuit. The input and output ground "AGND" is separated from the disturbing ground of the switching controller "PGND". Figure 12 shows the schematic structure of the ground connection of the switching controller.
Figure 12: Ground concept of the switching controller
In Figure 12 the input and output filters are already implemented. Their ground, "AGND" in this case, is purposefully separated from the switching controller ground "PGND". If the switching controller ground "PGND" were to be directly connected with the filter ground "AGND", the interference current could flow from the switching controller ground "PGND" via the filter capacitor "CFilter" to the power supply and bridge the input filter.
In practice, the input and output capacitors "Cin" and "Cout" are placed as closely as possible to one another so that their minus poles can be connected together. This reduces the ground conductor to a minimum. A reduction of the conductor loop, as shown in Figure 2 with the orange curve, is achieved by placing the cathode of the free-wheeling diode directly at the minus pole of the output capacitor "Cin". The residual ripple is the lowest at this point. The feedback voltage divider, at which the controller IC measures the output voltage, should therefore be connected directly at the output capacitor. The minus pole of the output capacitor "Cout" should therefore also act as reference ground for the controller IC and as a node point to be connected with the remaining ground of a circuit.
The circuit diagram of a switching controller was already shown in Figure 3. Now, on the basis of this example, it should be shown how the conductor loop is reduced in the layout and the ground connection to the remaining circuit was realized. Figure 13 shows the copper plane and the components on the assembly side.
Figure 13: Excerpt from the assembly plane
The orange line in Figure 13 shows the conductor loop of current via the free-wheeling diode, the coil and the output capacitor. All components are placed as close as possible to one another to reduce conductor track lengths. The green line shows the flow of current via the input capacitor, the internal MOSFET of the controller IC, the coil and the output capacitor. Both minus poles of the capacitors were placed very close together so that the ground conductor of the switching circuit is as short as possible.
The opposite side is completely filled with the "PGDG" ground to shield components and conductor tracks. The layout of the switching controller has been separated and routed on a ground plane island. Through-contacts in the circuit board connect the "PGND" ground via an internal ground plane island and therefore allow the connection of the "AGND" ground via just one node point. All other internal planes have the same ground plane island and are only connected at one point with the remaining "AGND" ground. Figure 14 shows the first internal plane with its "PGND" ground plane island.
![]()  | ![]()  | 
| Figure 14: Internal copper plane | Figure 15: Picture of the assembled circuit board | 
In Figure 14 it is apparent that the internal ground plane is applied over the entire area and is only connected with the disturbing "PGND" ground plane at one point (red ellipse). The through-contacts in the ground plane island are only connected to the "PGND" ground. Figure 15 shows a picture of the assembled circuit board.
11. Summary
This Application Note illustrates the importance of correct selection of filter components and the circuit board layout. Conductor loops can couple interference voltages to neighboring circuits or conductors, which leads to increased radiation of the RF interference field. Conductor loops of this kind can be reduced by observing simple layout tips. Filtering the inputs also reduces the undesirable interference voltage and thus line-bound interference. Reduction of residual ripple at the switching controller output is achieved by means of an output filter and can then prevent an audio amplifier's non-linear distortions. It has been demonstrated that SMD ferrites are most suitable for HF suppression. The Würth Elektronik Component Selector helps in the selection of SMD ferrites and the result of the filter can be simulated easily in the LTSpice software. The example investigated in this Application Note shows that switching controller can even be used in analog amplifiers provided the points described are observed.
IMPORTANT NOTICE
The Application Note is based on our knowledge and experience of typical requirements concerning these areas. It serves as general guidance and should not be construed as a commitment for the suitability for customer applications by Würth Elektronik eiSos GmbH & Co. KG. The information in the Application Note is subject to change without notice. This document and parts thereof must not be reproduced or copied without written permission, and contents thereof must not be imparted to a third party nor be used for any unauthorized purpose. Würth Elektronik eiSos GmbH & Co. KG and its subsidiaries and affiliates (WE) are not liable for application assistance of any kind. Customers may use WE’s assistance and product recommendations for their applications and design. The responsibility for the applicability and use of WE Products in a particular customer design is always solely within the authority of the customer. Due to this fact it is up to the customer to evaluate and investigate, where appropriate, and decide whether the device with the specific product characteristics described in the product specification is valid and suitable for the respective customer application or not.
The technical specifications are stated in the current data sheet of the products. Therefore the customers shall use the data sheets and are cautioned to verify that data sheets are current. The current data sheets can be downloaded at www.we-online.com. Customers shall strictly observe any product-specific notes, cautions and warnings. WE reserves the right to make corrections, modifications, enhancements, improvements, and other changes to its products and services.
WE DOES NOT WARRANT OR REPRESENT THAT ANY LICENSE, EITHER EXPRESS OR IMPLIED, IS GRANTED UNDER ANY PATENT RIGHT, COPYRIGHT, MASK WORK RIGHT, OR OTHER INTELLECTUAL PROPERTY RIGHT RELATING TO ANY COMBINATION, MACHINE, OR PROCESS IN WHICH WE PRODUCTS OR SERVICES ARE USED. INFORMATION PUBLISHED BY WE REGARDING THIRD-PARTY PRODUCTS OR SERVICES DOES NOT CONSTITUTE A LICENSE FROM WE TO USE SUCH PRODUCTS OR SERVICES OR A WARRANTY OR ENDORSEMENT THEREOF. WE products are not authorized for use in safety-critical applications, or where a failure of the product is reasonably expected to cause severe personal injury or death. Moreover, WE products are neither designed nor intended for use in areas such as military, aerospace, aviation, nuclear control, submarine, transportation (automotive control, train control, ship control), transportation signal, disaster prevention, medical, public information network etc. Customers shall inform WE about the intent of such usage before design-in stage. In certain customer applications requiring a very high level of safety and in which the malfunction or failure of an electronic component could endanger human life or health, customers must ensure that they have all necessary expertise in the safety and regulatory ramifications of their applications. Customers acknowledge and agree that they are solely responsible for all legal, regulatory and safety-related requirements concerning their products and any use of WE products in such safety-critical applications, notwithstanding any applications-related information or support that may be provided by WE. CUSTOMERS SHALL INDEMNIFY WE AGAINST ANY DAMAGES ARISING OUT OF THE USE OF WE PRODUCTS IN SUCH SAFETY-CRITICAL APPLICATIONS.
USEFUL LINKS
Application Notes: http://www.we-online.com/app-notes
REDEXPERT Design Tool: http://www.we-online.com/redexpert
Toolbox: http://www.we-online.com/toolbox
Produkt Catalogue: http://katalog.we-online.de/
DIRECT LINK
ANP013c: Switching controllers in audio amplifiers
CONTACT INFORMATION
Würth Elektronik eiSos GmbH & Co. KG
Max-Eyth-Str. 1 · 74638 Waldenburg · Germany
Tel.: +49 (0) 7942 / 945 – 0
			    
























Top Comments