The Sham of the High Rated Current
BY STEFAN KLEIN
1. How rated current is shown in a better light
Coils are used in switching controllers as power coils. Parameters such as inductance, rated, saturated current and RDC, are determined and declared by the coil manufacturers in the datasheet specifications. In practice, coils of identical construction are compared in order to make a selection for a switching controller. But then the question arises for the developer, why the rated current can differ between coils of the same construction from different manufacturers.
2. The influence of the rated current on the operating temperature
The permissible operating temperature of a component plays an important role. If it is exceeded, then there is the risk of the component being destroyed or its lifespan considerably reduced. The operating temperature "Top" is made up of two elements. The ambient temperature "TAmb" and the component's self-heating " T":
The self-heating results from the power losses "PLoss" in relation to the component’s ability to dissipate heat.
The heat dissipation capacity is a product of the component surface area "AComp" and a product-dependent constant "kComp", which reflects the surface material, among other things.
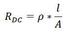
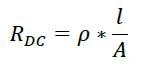
The reason for self-heating of the coil is the ohmic loss caused by the RDC of the wire. This is determined in operation. RDC is measured in a four-pole method with an LCR meter and may vary considerably between components. For a given material constant "p" the resistance of a copper wire "RDC" is higher in relationship to its length "I" and smaller cross-sectional area "A":
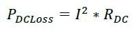
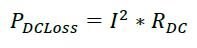
In order to avoid any damage to the coil, consider not exceeding the specified rated current. The rated current "IR", is a result of the resistance "RDC" of the wire winding, leads to the power loss "PDCLoss".
The DC power loss of the coil increases with the square of the current through the component and this leads to unwanted heating. Usually the self-heating of the component is included in the component's datasheet. The rated current is specified for a defined self-heating. For passive components this is generally a selfheating of 40 Kelvin, i.e. if the specified rated current flows through the coil, the coil heats up by 40 Kelvin. Deviations appear from manufacturer to manufacturer, because there is no worldwide standard that defines a temperature increase at which the rated current is determined.
3. Measurement set-up to determine the rated current
A defined test chamber is necessary, such that the measurement result is not falsified by air convection. The test chamber at Würth Elektronik eiSos, as shown in Figure 1, is along the lines of EN60512-5-2 and is made of a non heat reflecting material. EN60512 describes testing of connectors for electronic equipment. It is used as a reference, as no such definition exists for coils. A thermoelement contacts the surface of the coil using thermal paste, which enables very precise measurement of the component temperature. The measurement system is automated and the current source is controlled by software developed especially for this purpose.
Figure 1: Measurement set-up to determine the rated current
The rated current is determined by passing a DC current through the coil. Once the system of coil and measuring equipment has stabilised, both the temperature increase of the components, as well as the ambient temperature, are measured using sensors. If the temperature increase is less than 40 K, the current passed is increased stepwise until heating of 40 K is attained. Once the self-heating of 40 K is attained, the current passed through the coil is read off and declared as the rated current.
4. Influences on the measurement
Even within the test chamber there are influences that can significantly falsify the measurement result. During measurement, the coil's connection to the current source is critical, as unwanted heat dissipation produces falsification of the measurement results. For this reason, care is taken at Würth Elektronik eiSos that the component's heat coupling to the environment during measurement is as low as possible. Figure 2 shows a reference measurement with various contacting options for a coil.
Figure 2: Comparison of contacting options
For this reference measurement the Wrth Elektronik eiSos WE-LHMI series coil 744373460082 in the 7030 package is used and a current of 9 A is passed. The type of contacting significantly influences the measurement result. The greater the mass of the contacts, the more heat can be dissipated from the contacts and the lower the relative temperature change of the coil. The first example from the reference measurement shows, for example, that a WE-LHMI with 7030 package only heats up by 30.9 K if the coil is connected by soldering the wires and is contacted via large clamps. With smaller clamps at the same current, the temperature rises by 35.8 K. This type of contacting is not practical, however. In its datasheets, Würth Elektronik eiSos recommends a pad design for each coil, which serves as the basis for such measurements. In order to reflect the standard during measurement, FR4 of 1.5 mm thickness is used as the substrate material and 35 μm copper, chemically gold plated. The rated current is measured using the fourpole method so the resistance of the connection to the power supply is kept as low as possible. This also avoids high heating of the measurement cables.
Figure 2 shows the third contacting option as a circuit board, which is used as an example with the coil from the WE-LHMI product family and 7030 package. At a current of 9 A the coil heats up by 40 K. This reference measurement shows that the temperature difference can be up to 9.1 K. Generally, many coil manufacturers make no statements about the contacting method, so their measurement method cannot be reproduced. However, if two coils of identical construction from different manufacturers are measured with the same measurement and contacting method, the same results should be obtained.
5. Comparison of coils
In the following, a Würth Elektronik eiSos coil from the WE-LHMI product family is compared with an coil of similar construction from a competitor. Both coils are made of round wire and are pressed in a core made of an iron powder mixture. The properties are compared in the table.
Ref. no.  | Package type  | Inductance L  | Rated current IR  | Direct current resistance RDC Typ  | 
744373460082  | 7030  | 0.82 μH  | 9 A  | 6.7 mΩ  | 
Competitor  | 7030  | 0.82 μH  | 13 A  | 6.7 mΩ  | 
Table with parameters of both coils in comparison
Interestingly, the rated current differs by 4 A between the two coils. Theoretically, there can be no difference given the same package and same RDC. As an experiment, the rated current of both coils was measured and compared using the Würth Elektronik eiSos measurement set-up. For both measurements, the same measurement set-up, the same contacting method and the same measurement board were used. Figure 3 shows the characteristic curve of the reference coil (in blue) is almost identical to the characteristic curve of the WE-LHMI 744373460082 (red dashed line).
Figure 3: Characteristic curves of the rated currents of both coils
Figure 4 shows the temperature of both coils measured with a thermal imaging camera. The temperature of the left coil, WE-LHMI, at a rated current of 9 A minus the room temperature is 40.1 C. Higher rated currents can be achieved with Würth Elektronik eiSos coils from the WE-MAPI product family. WE-LHMI Competitor
Figure 4: Thermal images of both coils
On the right of Figure 4 the temperature of the other coil at the same rated current minus the room temperature is shown. It is 40.7 C°. The difference between the two temperature measurements is just 0.6 K and is attributed to component tolerances. Both characteristic curves show self-heating of 40 K at a rated current of 9 A. In addition, the two coils of the same package type have the same resistance value of 6.7 mΩ. As a result, both coils have the same power loss "PDCLoss":
This fact implies that the rated current of the other component is determined with a measurement method with which there must be a high level of heat dissipation. The low deviations in the characteristic curve are caused by component tolerances. They occur even when comparing coils of the same construction originating from the same series from the same manufacturer.
6. Interpretation of results
The investigation of the rated current by measurement reveals that the rated current is dependent on external influences during the measurement. High heat removal can falsify the measurement result and lead to inexplicably high rated currents. If coils from Würth Elektronik eiSos are compared with other coils, attention should be placed on the package design and where RDC is identical. Assumption is that the rated current is determined at the same self-heating. If the package design and RDC are the same, the rated current of both coils is the same.
IMPORTANT NOTICE
Würth Elektronik eiSos GmbH & Co. KG and its subsidiaries and affiliates (WE) assume no liability for application assistance of any kind. Customers may use WE’s assistance and product recommendations for their applications and design. The responsibility for the applicability and use of WE Products in a particular customer design is always solely within the authority of the customer. Due to this fact it is up to the customer to evaluate, where appropriate to investigate and decide whether the device with the specific product characteristics described in the product specification is valid and suitable for the respective customer application or not. Customers are cautioned to verify that data sheets are current. The current data sheets can be downloaded at www.we-online.com. Customers shall strictly observe any product-specific notes, cautions and warnings. WE reserve the right to make corrections, modifications, enhancements, improvements, and other changes to its products and services.
WE does not warrant or represent that any license, either express or implied, is granted under any patent right, copyright, mask work right, or other intellectual property right relating to any combination, machine, or process in which WE products or services are used. Information published by WE regarding third-party products or services does not constitute a license from WE to use such products or services or a warranty or endorsement there of. WE
products are not authorized for use in safety-critical applications (such as life support). It has to be clearly pointed out that the possibility of a malfunction of electronic components or failure before the end of the usual lifetime cannot be completely eliminated in the current state of the art, even if the products are operated within the range of the specifications. In certain customer applications requiring a very high level of safety and in which the malfunction or failure of an electronic component could endanger human life or health Customers must ensure that they have all necessary expertise in the safety and regulatory ramifications of their applications, and acknowledge and agree that they are solely responsible for all legal, regulatory and safety-related requirements concerning their products and any use of WE products in such safety-critical applications, notwithstanding any applications-related information or support that may be provided by WE. Further, Customers shall fully indemnify WE against any damages arising out of the use of WE products in such safety-critical applications. WE products are neither designed nor intended for use in automotive applications or environments unless the specific WE products are designated by WE as compliant with ISO/TS 16949 requirements. Customers acknowledge and agree that, if they use any non-designated products in automotive applications, WE will not be responsible for any failure to meet such requirements. 
USEFUL LINKS
Application Notes: http://www.we-online.com/app-notes
Component Selector: http://www.we-online.com/component-selector
Toolbox: http://www.we-online.com/toolbox
Product Catalog: http://katalog.we-online.de/en/
DIRECT LINK
ANP019: The Sham of the High Rated Current
CONTACT INFORMATION
Würth Elektronik eiSos GmbH & Co. KG
Max-Eyth-Str.1, 74638 Waldenburg, Germany
Tel.: +49 (0) 7942 / 945 – 0
Email: appnotes@we-online.de
			    








