Introduction
This short blog post discusses some practical measurements of capacitors! It’s not exhaustive, and instead focuses on some low frequency (up to 100kHz) measurements. It was prompted by recently reviewing a BK Precision BA6010 battery tester which kind-of functions as a capacitor meter too. I thought it could be worth exploring some of the reasoning behind measuring capacitors. Some results with real-world capacitors are recorded if you’re interested in seeing what typical ESR values to expect from different capacitors. The information in this blog post applies to typical LCR meters as well as to the BA6010BA6010.
Background
Resistors (perfect theoretical ones) have a resistance that doesn’t change regardless of AC or DC voltages applied to it. Perfect capacitors have a type of ‘resistance’ that changes depending on the applied frequency. Whatever frequency signal is applied to a capacitor, the current is at 90 degrees phase shift to the applied voltage. This is an important property so it is actually called reactance to differentiate from resistance which always has current and voltage in phase.
At low frequencies the reactance is high. At high frequencies, the reactance is low.
The 90 degree phase is significant because it means there is no power loss like a pure resistor. That’s easy to see by looking at the power consumed by a resistor. The power is equal to voltage multiplied by current. Since the voltage and current are in phase, the values multiply to give the blue power waveform, and the average of it is a positive value (the actual values in the example chart are arbitrary). The value is always positive despite the AC voltage and current quantities having an average value of zero, because multiplying two negative numbers (on the lower half cycles of the sine waves) results in a positive number. The shaded area can be summed and represents the total energy consumed over time and is again a positive value.
The situation is different with a capacitor. The voltage and current are 90 degrees out of phase, and multiplying voltage by current results in the blue power waveform which has an average value of zero. This is because for each half cycle, energy is either stored in the capacitor, or released by the capacitor, resulting in overall energy consumption of zero too.
Reactance and resistance can more generally be called impedance (indicated as Z in formulas) which is a vector quantity with the 90 degree phase shifted reactance being on the vertical axis. In contrast for a real resistor, since there is no phase shift, its resistance is represented along the horizontal axis.
In a nutshell, a pure capacitor has reactance, and a pure resistor has resistance, and either of these can be drawn as a vector and called impedance. If we see a vertical line on the impedance vector then we know it is reactance, and if it is a horizontal line then we know it is resistance.
A quantity or vector which has some direction in both axes (e.g. a diagonal path) would represent a circuit or component that has some reactance and some resistance. Resistances cause heat to be generated – as anyone who has connected a resistor to a battery has found out!
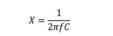
The formula to work out the reactance at the frequency of interest, for the perfect capacitor, is simply
where X is the magnitude of the vertical component of Z (for a perfect capacitor, Z is actually equal to X).
In real life, a capacitor isn’t a perfect capacitor, but instead internally behaves like a capacitor in series with a resistor (this is just a first-level approximation; more complex models are possible). Z is no longer a vertical vector. Instead, it has some diagonal-ness, and has the X component, but also a small resistive component too.
The BA6010 is a device that can measure the impedance of batteries, but as far as it is concerned, it cannot tell the difference between a capacitor and a battery. It doesn’t know what a user has connected to it. So, we are kind of exploiting that to measure capacitor impedance. A real capacitance meter (often available in the form of an LCR or Inductance-Capacitance-Resistance meter) also measures impedance.
Just to recap, impedance, Z, is a vector value with real and imaginary parts (known as R and X respectively), and impedance (also called vector impedance) measuring devices can present this impedance (Z) information in different ways, but it all boils down to determining the real and imaginary parts of the impedance, and then applying a formula to do any conversion.
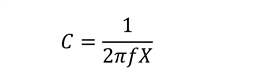
Rearranging the previous formula means that the capacitance can be derived by using this formula (where f is the frequency that the instrument measures at, and X is what the instrument determined was the magnitude of a measurement that was at 90 degrees to the applied stimulus):
The capacitor Equivalent Series Resistance (ESR) is what the real part of the measurement is known as, and capacitor datasheets will usually specify a maximum ESR at a particular frequency. Sometimes the datasheets do not specify ESR, but do mention Dissipation Factor (DF) which can be converted into an ESR value (see further below).
Armed with this information, I set off to measure some capacitors!
Why does ESR matter and why measure it?
ESR is the resistance the capacitor exhibits at various frequencies. If a capacitor had zero ohms ESR then there would be no losses when a capacitor was applied in a circuit. As ESR increases, the losses increase and the capacitor warms up slightly as energy is converted to heat, same as with any resistor component.
So, high ESR is usually undesirable. In power supply circuits for example, the losses could be significant enough to overheat the capacitor if it had too high ESR – for example old PSUs with dried-out electrolytic capacitors. Also, high ESR can result in excessive output ripple in LC filter circuits, because the low impedance path to AC is no longer a low impedance.
It can therefore be seen that knowing ESR becomes important. Capacitor datasheets do often mention the maximum ESR value, but not always. Furthermore, the datasheet value may be at a different frequency than that the device will be used for, which makes things awkward, because ESR can change versus frequency. Typically (for a certain range of frequencies) the ESR value will reduce as frequency is increased. At higher frequencies still, the ESR begins to rise again.
Some way of measuring ESR, especially at different frequencies, can therefore be helpful. If you can’t measure at different frequencies, then it is possible to use judgement and consider if ESR will fall or rise at the frequency of interest, compared to the frequency at which the ESR was measured.
Differences between the BA6010 and LCR Meters
The BA6010 cannot easily replace a true LCR meter, because it only measures at one frequency which isn’t the one always specified in capacitor datasheets. It also has a more limited range of measurements, perfect for measuring batteries but only usable with a subset of capacitors that engineers will encounter.
The BA6010 is also not as accurate as a dedicated LCR meter for that use-case. Furthermore I was concerned of reverse-biasing polarized capacitors, because the BA6010 applies an AC waveform.
However, although the AC signal that the BA6010 applies to the device under test can reach several volts, this is open circuit. As soon as a practical capacitor is applied, the voltage reduces to a few tens of millivolts or even lower.
According to a tantalum capacitor manufacturer, AVX, they state in a PDF tantalum reverse voltage behavior document that some tantalum capacitors can briefly withstand a few percent of their rated voltage in the reverse direction. Tens of millivolts would be comfortably below this. So, this provided me with the confidence to try subjecting some more capacitors to it than I did for the main review.
Is it worth using the BA6010 for measuring Capacitors?
I feel the answer is no, not if you already have an LCR meter. If you don’t, then taking the caveats above into account, the BA6010 can perform to a level far beyond usual handheld multimeter capabilities for measuring capacitor characteristics, but you'll soon want a real LCR meter. The BA6010 can't easily measure small capacitances (a few tens of nF and lower) for instance, because it is not part of its core function of battery analysis.
Capacitors and Specifications
In the end, I used the BA6010 to measure some tantalum, ceramic and electrolytic capacitors shown in the table here:
| Identifier | Value (uF) | Rating | Type | Mnfr and Part Number |
|---|---|---|---|---|
| A | 22 | 35 | Tantalum | AVX TPSD226K035R0200TPSD226K035R0200 |
| B | 4.7 | 35 | Tantalum | AVX TPSB475K035R1500TPSB475K035R1500 |
| C | 0.1 | 50 | Ceramic | Vishay K104K15X7RF53L2K104K15X7RF53L2 |
| D | 470 | 35 | Electrolytic | Panasonic EEUFM1V471EEUFM1V471 |
| E | 220 | 35 | Electrolytic | Panasonic EEUFM1V221LEEUFM1V221L |
| F | 220 | 25 | Electrolytic | Jamicon SK series |
| G | 22 | 250 | Metallized Polypropylene Film | Panasonic EZPQ25226LTAEZPQ25226LTA |
The datasheets sometimes show the ESR in different ways. It depends on what the capacitor is intended for. Sometimes the ESR is indicated at a spot frequency of 100kHz. This was the case for the tantalum capacitors and the high-end electrolytic capacitors I tried.
Sometimes the ESR is not directly stated in the datasheet, but a dissipation factor value is presented, either as a ratio, or as a percentage. The dissipation factor can always be converted to ESR using this formula (where DF is a ratio, f is the frequency, C is the capacitance, and ESR is in ohms):
The frequency selected for ESR could be 100kHz as mentioned above, but could also be at 120Hz for capacitors that are perhaps intended for mains-derived voltage smoothing. Wire-ended capacitors also sometimes specify the ESR at 1kHz, since they are maybe more likely to be used at lower frequencies.
The BA6010 can only measure at 1kHz, because this is the frequency used by battery manufacturers and the related specifications.
When measuring capacitor ESR at 1kHz, the value might not match the datasheet specification since that could be at 100kHz or 120Hz for instance. However, in that ballpark frequency range, the ESR of a capacitor tends to reduce as the measurement frequency is increased. So, if a measurement is taken at 1kHz, it would not be unusual to see that the measured ESR is higher than the datasheet ESR limit measured at 100kHz.
Kemet has an excellent online capacitor tool that provides a plot of ESR versus frequency, when parameters are entered.
Results
The table here shows the measured results, compared to the datasheet values.
| Identifier | Marked Capacitance (uF) | Measured Capacitance (uF) | Datasheet Max ESR (ohms) at 100 kHz | Measured ESR (ohms) at 1 kHz |
|---|---|---|---|---|
| A | 22 | 21.85 | 0.2 | 0.26 |
| B | 4.7 | 4.677 | 1.5 | 0.91 |
| C | 0.1 | 0.0943 | 39.8 | 35.0 |
| D | 470 | 435.02 | 0.019 | 0.0242 |
| E | 220 | 215 | 0.041 | 0.0504 |
| F | 220 | 177.9 | 8 at 120Hz | 0.312 |
| G | 22 | 22.1 | Not specified | 0.011 |
The measured values appeared to be in the correct ballpark. I explored the results based on capacitor technology:
Tantalum Results
Capacitors A and B were the tantalum caps, they were from the AVX TPS series, which has low (for tantalums) ESR. The TPS series is extremely mature (it has been around for more than two decades) and I like it a lot because the fairly granular ESR specifications in the range are very helpful when building power supply circuits where specific ranges of ESR may be recommended by the voltage regulator manufacturer. Kemet has an excellent Tantalum Application Note PDF doc which has charts of typical ESR versus frequency of operation. The tantalums that have a higher voltage rating have lower ESR generally. Farnell/Newark has a nice AVX TPS kitAVX TPS kit (and also a low ESR kitlow ESR kit) that are worth getting, the first one at least is low cost.
Ceramic Capacitor Results
Capacitor C was the wire-ended ceramic capacitor (I keep these ones around since they are handy for breadboard prototyping). The lowest ESR is not achieved at 1kHz for ceramic capacitors; this can also be seen by using the online tool at the Kemet website which can plot it out for similar-ish sized ceramic capacitors. The chart here shows in blue how the ESR changes massively (by more than 100 times) at 1kHz compared to 10MHz. A 35 ohm ESR at 1kHz could still mean the capacitor has an ESR of just 0.1 ohms at 10MHz.
Another thing worth mentioning is that the capacitance can dramatically decrease depending on the applied DC voltage on a ceramic capacitor. That wasn't explored here, but is always important to bear in mind when working with ceramic capacitors. One thing to reduce the effect can be to use a physically larger capacitor than necessary.
Electrolytic Capacitor Results
Capacitors D and E are Panasonic’s low ESR electrolytics from their FM series. The measured ESR value was close to the datasheet value, although again the datasheet specifies it at 100kHz.
Capacitor F was another electrolytic, but from Jamicon’s far lower-cost SK series. The ESR was significantly higher, and the measured capacitance was also far lower than the marked capacitance.
Incidentally there is a good technical overview of electrolytic capacitors in a Nichicon Electrolytic Capacitors Description PDF document.
Metallized Polypropylene Film Capacitor
Capacitor G is a (physically) huge plastic capacitor (Polypropylene dielectric). It is used for mains filtering or inverter circuits, although I purchased it for audio use. It had extremely low measured ESR at 1kHz! Although the datasheet didn’t specify a value, similar-sized polypropylene capacitors tend to have ESR of the order of 10 milliohms, so again the measured value was certainly in the correct ballpark.
Summary
Although it cannot replace an LCR meter, the information provided by the BA6010 is nevertheless useful, and will serve as a stopgap for measuring capacitors if other tools are not available. I believe it is safe to use with any capacitor type, including polarized capacitors. It will certainly beat the socks off most typical multimeters with capacitance measurement mode, but a nice LCR meter will be a far better option.
Such tools provide insight beyond component datasheets.












Top Comments
-
DAB
-
Cancel
-
Vote Up
+4
Vote Down
-
-
Sign in to reply
-
More
-
Cancel
Comment-
DAB
-
Cancel
-
Vote Up
+4
Vote Down
-
-
Sign in to reply
-
More
-
Cancel
Children