Results: Capacitance temperature dependence
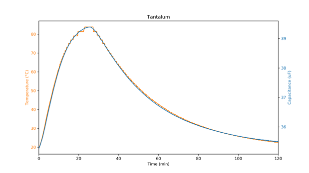
The first thing that I wanted to test was how the temperature affects the capacitance of the different capacitors. I performed a temperature sweep from ambient temperature to ~80 °C, and then back to ambient temperature.
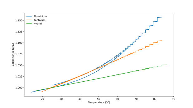
It can be seen that the temperature curve looks like a stairway at higher temperatures, this was caused by the lack of precision of the MyDAQ ohmmeter. The temperature curve was not identical in all 3 measurements either (as it was controlled manually), this could be fixed through concurrent measurement of capacitances through multiple channels or through a better timing and control of initial liquid temperature, volume of liquid, etc. I found that the aluminium polymer capacitor does not appear to respond linearly to the temperature, in opposition to the tantalum polymer and hybrid polymer capacitors. This observation are more evident when looking at the temperature/capacitance plots.
Besides the lack of linearity, the aluminium capacitance/temperature plot also shows another interesting feature, the capacitance stays higher for the same temperature when the temperature is dropping than when it is rising, more experiments need to be done to better understand the behavior of the aluminium measured capacitance. In order to compare the capacitance variation of capacitors I normalized the capacitances so that at ambient temperature (25 ºC) the capacitances are 1:
The hybrid polymer capacitor showed the lowest slope (in the tested temperature range), or said differently temperature affected its capacitance less than the capacitance of the other capacitors. The polymer aluminum capacitor appears show lower capacitance variation than the polymer tantalum capacitor on a defined temperature range, but more tests need to be done to really confirm this.
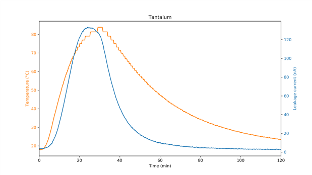
Results: Leakage current
To measure the leakage current of the capacitors I first kept the capacitors for >1 h at 5 V in order to minimize the current flow due to dielectric absorption, then I measured the current at the same voltage (5 V) with the DMM while sweeping the temperature.
All capacitors showed completely different magnitudes of current leakage, and appeared to reach the maximum leakage current before the maximum temperature, an effect that is especially noticeable in the polymer aluminium capacitor. The reason this occurs may be related to the lower dT/dt before reaching maximum temperature, but more tests would have to be done to confirm this. While the polymer tantalum capacitor appeared to display very little stochasticity, the polymer aluminium and hybrid polymer capacitors displayed higher stochasticity during the leakage current drop and rise respectively. All capacitors displayed a lower leakage current when cooling than when heating (at the same reference temperature), this can be better appreciated in the leakage current/temperature plots.
Even though the polymer aluminium "triangular" pattern appears very different to the patterns of the other capacitors, this could be the result of differences in the temperature curves, and not a property inherent to the capacitor. Again, a more consistent generation of the temperature curve, or the use of a multichannel system could help in doing a better comparison between the capacitors. To compare the curves the leakage current was normalized at the initial ambient temperature (25 °C).
It can be seen that the polymer tantalum leakage current has the highest sensitivity to temperature and increases 20 times, while the other 2 capacitors increase less than 5 times.
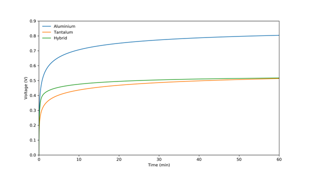
Results: Dielectric absorption
Dielectric absorption is an effect caused by the "alignment" and "delignment" of the molecular dipoles of the capacitor dielectric caused by the application of an electric field. If a constant voltage is applied to a capacitor, molecular dipoles will slowly orient themselves to the electric field, and this of course requires electrical charges. When the capacitor is discharged the opposite happens, charges are given back. If a capacitor is charged and then short-circuited momentarily, voltage will build up across the terminals.
To observe the effect I kept capacitors at 5V for >1 h and then I began recording their voltage with the DMM set at 10 GigaOhm input impedance and briefly (~0.5 s) manually shorted the capacitor terminals.
As the shorting was done manually, its not possible to draw any conclusion on which capacitor gets more voltage back as minor differences in the time the capacitor stays shorted have a great impact in how much of the original voltage gets back. Still its possible to observe that they build up their voltage at different speeds, with the tantalum appearing to show the fastest dynamic. One way this test could be improved is by using an MCU and a transistor to precisely time the capacitor terminal shorting period.
Conclusions
As much as I would have liked to test all the 17 capacitors, that would have been too time consuming with a single channel system. For that reason, I explored 3 type of capacitors with similar values, but of course not identical, making the comparison not very fair. As I was not sure what results I would get out of the experiments or even if the experiments would work, the experiments were a bit crude and meant to be more of an exploration than a rigorous characterization. These results could be seen as the first iteration of a more rigorous capacitor characterization, follow-up iterations would have to use more precise timing to improve repeatability of the experiments, be repeated multiple times to reduce noise and measure stochasticity and improve temperature measurement.
Maybe more important than trying to draw any definitive conclusion on the polymer capacitors, what I showed in this design challenge is one way to perform the experiments to characterize capacitors and how much instrumental precision is required to do so. The Atlas ESR meter for instance was not capable of detecting variations of the ESR caused by temperature variation (any eventual variation was below the precision of the instrument). Hopefully these experiments were interesting to anyone thinking about characterizing capacitors or just interested in the parameters that I measured.
Finally, I would like to thank E14 for allowing me to participate in this design challenge as I really had a lot of fun participating!















Top Comments