This is the 4th blog post of my RoadTest review of the AIM-TTI QPX750SP power supply: AIM-TTI Bench Power Supply
Previous blog posts:
AIM-TTI QPX750SP RoadTest | A Non-Conventional Power Supply Review
AIM-TTI QPX750SP RoadTest | Passive Load Experiments
AIM-TTI QPX750SP RoadTest | Dynamic Load Behavior & Protections
In this blog post I will take a look at some of the miscellaneous features the AIM-TTI QPX750SP lab power supply has.
1. Miscellaneous Features
Along the standard features a laboratory power supplies have, the AIM-TTI QPX750SP also comes with a couple extra features.
One interesting feature is the Remote Sense capability. This is not uncommon in power supplies, and basically implements 4-wire sensing of the output voltage directly a the load. This allows the power supply to compensate for the voltage drop occurred due to the resistance of leads.
On the connectivity side we have a couple of options:
- USB port - can be used for serial communication with a PC
 - LAN port - implements the LXI standard, allowing control of the instrument over a LAN / Ethernet network
 - GPIB port - (optional, not populated on my device) another remote control interface (kind of obsolete)
(the above 3 interfaces can be controlled using a Virtual Instrument Software Architecture / VISA driver) 
- Logic Control terminal - implements some proprietary digital control interface (opto-isolated)
 - Analogue Monitor / Control terminal - some proprietary interface, this time analogue (not opto-isolated?)
 
Along these the instrument has some User Interface (UI) related features like color themes, buzzer for sound feedback and averaging of the current reading.
2. Control over Ethernet
The most interesting feature for me is certainly the ability to control the instrument over LAN / Ethernet. This allows automating different task such as device testing.
To test this feature I connected the AIM-TTI QPX750SP to a home router. The instrument it automatically picked up an IP address from the DHCP server.
The power supply exposes a simple Web Interface with settings and instructions:
The instrument supports LXI (LAN eXtensions for Instrumentation) version 1.5 (2016), a protocol that allows controlling lab instruments over LAN / Ethernet.
To use it, I opted for the Python library PyVISA, which along LXI also supports communicating with instruments over GPIB, RS232 and USB.
The first step was to check if I connect to the Aim-TTi QPX750SP. After some tries, I got this:
Looks like we successfully connected to the instrument. 
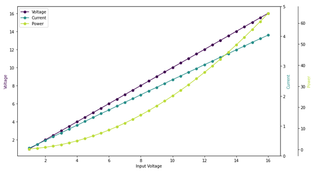
After this, I switched over to a Jupyter Lab install, and started creating a notebook. My goal with the notebook was to demonstrate a simple programmatically controlled experiment.
The experiment uses a 4.2 Ω dummy load connected to the power supply. The program then sweeps the output voltage from 1.0V to 16.0V, with 0.5V steps. The measured voltage, current and power is collected from the instrument.
This is what the running experiment looks like on the display of the power supply:
After this the collected data is nicely displayed using matplotlib pyplot:
The full Jupyter Notebook can be found in this gist.
			    



